2014年12月30日・31日の活動
(阪神大震災から間もなく20年の神戸へ。私費)
(阪神大震災から間もなく20年の神戸へ。私費)
事務所。
産経新聞記者と会合。
自治会役員と会合。
『福島原発3号機の黒煙は核爆発である』
【記録】2011年3月14日11時1分。臨界による核爆発が起きる。
まだ読み解いてはいませんが、気になる記事です。
最新版「公務員年収ランキング」トップ500(東洋経済)
狭山市役所は、全国19位との事。
上田きよし知事(浦和)。
私が中学3年の時、教師の対応に疑問を持つ。体のデカい不良には文句を言わず、体の小さい子はボコンとやられる。おかしいと思って、教師になろうと思った。
教育の法律を作るのは、国会・衆議院議員だと高校の時に思った。みんなの前で「将来は、衆議院議員になります」と言ったら、なるしかないと思った。
大学を卒業し、新自由クラブの政策スタッフに。学ぶ機会を頂いた。
新自由クラブは、衆議院議員5人でスタートし、18人→4人に。埼玉に、落下傘で立候補。選挙公示後7日目にポスターを貼り終った。供託金は返って来た。当選するまで10年くらいかかるかも知れないと思ったが、ホントに10年かかってしまった。
福岡県出身だが、埼玉でやるしかないと思った。
自分自身のやり方で、選挙をやろうとしたが、そうすると、選対が崩れそうで出来なかった。責任は全て候補者本人のもの。やりたいリストを出した。12時間駅頭演説など。
10市2町の選挙区。3回の選挙では落ちると思って、着実に票を伸ばした。4回目勝つつもりでやったが、急きょ立候補者が出て、負けて、1年くらいショックでスランプだった。
活動を早くやめて、帰る理由は簡単に付けられる。3才の娘から見たら、父親はいるが、朝早く出かけて夜遅く帰って来る。しかし、小さな迷惑を避ける事で、大きな迷惑をかけた。
1回自分を超えると、出来るようになって来る。
他力本願では無理。ブームに乗ろうとすると、必ず次は落ちる。
自分の力を信じる事。
超人的な努力。
現職の人と同じ事をして勝てる訳がない。しかし、現職が大きな組織に応援されていても、漫然としたり、マンネリ化していたりする。長く議員をやっていると、期待値が下がる。
大義の旗は皆さんにあるはず。日経グローカルで、県議会の改革度、埼玉県は42位。やる事は、いっぱいある。議会改革を思考する人を応援したい。
私は民主党の議員だったが、民主党政権の時も注文を付け、自民党にも注文を付けている。
孫子の言う、兵は勢いなり。
相手候補の批判を直接するのではなく、自分の事を言っていたら、相手の短所をいつの間にか触れている話し方を。
楽しい事と、つらい事をならせば、同じくらい。
事務所。
危険ドラッグ対策調査。
市民意見交換。
支援者会合。
工業団地役員と意見交換。
事務所。
――――――――
「震災前、巨大津波対策を検討しようとしたら、原子力安全・保安院の複数の幹部にとがめられた」との証言が明るみに。
これでも責任は問われないのですか?
(責任を問わないなど)体質が改まっていないのに、再稼働ですか?
原発近くの病院からすぐに避難せざるを得ず、原発さえなければ亡くならなかった方が何人もいるのに。
津波対策「あまり関わるとクビになるよ」調書を公開 テレビ朝日news
震災前に東京電力が、国に津波に対する表現を和らげるよう依頼していた事が報道されました。(福島県双葉町の前町長は以前から言っていましたが)
こんな暇があったら、何か出来たのでは?
東電が、福島沖で過去に起きた巨大地震(少なくともマグニチュード8.3以上)を指摘されたのは、いつからなのか?
「津波」の表現和らげるよう依頼 震災8日前に東電 テレビ朝日news
原発事故後の子どものがん検査で、福島県内の18才以下38万人のうち30万人の検査で今回【112人にがんやがんの疑い】が見付かったとの事。
ご家族は、心配の事でしょう。検査でがんの疑いが今回無かった方も。
言葉ではなく、結果で、国民の心配を無くすのが、政治・行政・専門家・電力会社の仕事です。
甲状腺がん、疑い4人 健康調査2巡目-福島県 Yahooニュース
――――――――
【あなたの人生の参考に少しでもなれば】
12月26日は、母の命日。母が亡くなったのが49才で私は来年母の年令なので、母の人生の時間軸で考えればあと365日で一生が終わりだった訳です(誕生日の違いなど細かい事はともかく)。 何と短い一生だったのかと、今日ほど自分の事に置きかえて実感として思い直した事はありません。母自身は自分が早く死ぬと思っていなかったと思います。
自分に置きかえて考えてみると、これまで当たり前と思っていた事にも対応の変更が必要だと思うようになり、優先順位や時間配分も変わります。人生設計も組み直す必要が出て来るかも知れません。間違いなく、周りの人へ感謝の気持ちを伝える事や、いたわり方が変わります。
(何かに怒る事や不満に思う事、孤独感や余暇、お金の使い方など)今から思えばムダに感情的になっていた事も、大した事ではなく思うようになり、逆に、言わなければいけないと思う事は、中途半端な言い方・接し方ではダメだと思うようになりました。
この事は、人生の長さだけでなく、仕事が当たり前のようにあると思っている場合でも、同じ事が言えると思います。
あなたは、もし寿命や、今のような仕事が出来るのが、あと残り1年、と言われたら、言われたその瞬間だけお考えになるのでなく、どう過ごそうと思いをめぐらせるでしょうか?
考えてみる事をお薦めします。明日も。あさっても。
考える上で、私の場合、キーワードには、自分が幸せになりたいは、含めていません。
そう言ってる私は48才にもなってまだまだ修行が足りません(なので、このコメント欄は後日、他に書き足す事を思えたら、書き足そうと思います)
私もそうなので言えますが、1年の計が長続きしないのは、来年も当たり前のように、生きているし、仕事があると、無意識も含めて思っているからなのです。
平均寿命が何才であっても、(分かりやすく単純な言い方をすれば)半数の人は、平均寿命を迎えずに死んでいます。
平均寿命まであと10年以上ある方は、あと何年あると考えても、あまり変わらないのではないでしょうか。
今は情報があふれている時代。でも、パソコンやTVのスイッチを消して、お考えになってみて下さい。考える時の静寂や孤独が、これからの人生を、より価値のあるものにすると思います。
余命宣告をされずに死ぬ事は、ざらにあります。
考えてみて下さい。あなたの残りの人生を、どう毎日生きるか。
事務所。
ケーブルTV収録。新年挨拶。
事務所。
県議からの依頼事項対応。
埼玉民社協会(浦和)。
元衆議院議員と意見交換。
地元の子供会で、クリスマス会が開かれました。
15年以上やっている子供会での
Merry Christmas!
どなたにも、穏やかな夜を。
小学生とは言え、6年生の子もいるので、心臓移植が必要
私は6年前、ガン病棟に行った時、10人ほどの小児が
クリスマスイブの今夜も、病室にはお母さん・お父さ
市議会議員になってすぐ、骨髄バンクのお手伝いをさせ
皆さんも、骨髄バンクにご協力を。献血ルームで、献血
日本骨髄バンク 登録受付窓口-関東・甲信越
公益財団法人 日本骨髄バンク
特定非営利活動法人 全国骨髄バンク推進連絡協議会
【サンタクロースって、いるんでしょうか?】
今から100年前に、8才の子が新聞社に質問した回答は。
「サンタクロースがいないっていう証拠も無い」。
高木まり県議に、このサイトを教えてもらいました。
市民相談。
高校訪問。
事務所。
事業者訪問。
――――――――
【心臓移植しないと、生きられない小学6年生】ご協力を
◆この子にも、クリスマス・プレゼントを◆
私の母は、日本赤十字の狭山の委員長として、今から約
母が亡くなったのは、母が49才。来年、私は母の年に
自分に出来る事は何なのか。母が亡くなった28年前か
きょうこちゃんを救う会 2014年9月に「拡張型心筋症」と診断された三輪響子ちゃんを救う会
目標額に達したとの情報が。良かったです。後は渡米・移植が成功して、元気になられることを見守りたいですね。
ちなみに心臓移植の募金は、余ったら他の移植が必要な方のところに行くシステムになっています。
2015年1月12日(月)に成田空港から渡米するとの事です。祈ってます。
――――――――
今日午前2時~放送 報道の魂(TBSテレビ)『狭山事件、ある弁護士の闘い』
(今、番組があることに気付きました。)
HP更新作業。
原稿作成。
市民相談。
県議会。採決。
ボランティアの方と意見交換。
市民相談。
事務所。
県高齢介護課副課長。
新聞記者と意見交換。
商店街役員さんと会合。
済生会栗橋病院副院長の本田宏先生に、1時間半個人的にお話を伺いました。
お話下さった1つは、デンマークの教育。「有名校に何人が合格した」とか、検定教材は無いとの事。
本田宏先生に見せて頂いたのがこの資料。
最近子供と深く関わって、この上中段に書かれている事に納得します。特に中段の2行。
家庭で安心した生活が出来ていない子は、外でも自分を出せなくなったりします。だから先生も問題に気付けません。どうすればいい子に育つかは大事ですが、皆さんの近所の子で気がかりな子や、妙におとなしい子はいないでしょうか?ひとり親でも立派に育てていらっしゃる家庭は多いと思いますが、皆さんにお願いなのは、近所の子供を家に招いて、一緒にご飯を食べて下さい。下らない会話でも、人は幸せに感じます。親とうまくいかなくても、自分を大事にしてくれる大人はいるんだと言う発見になり、生きる希望にもなります。
貧困の連鎖を断ち切る為には、教育費の支援も大事ですが、多くの大人の関わりが大事です。お願いします。
環境団体役員さんと意見交換。河原の活用について。
専門家の方と意見交換。自転車道の整備。
さいたま市議と意見交換。
先日、さいたま市長に私から提案した河川敷でのサイクリストの拠点整備の検討状況について聞く。
県庁。
県議会 自然再生対策特別委員会。
◆中川委員
健康増進の為、今後サイクリングやウォーキングをする人が増えて来ると考える。
サイクリングロードや遊歩道の整備にあたって、川幅の広い所や狭い所があるが、こういった方々の安全を確保する為、サイクリングロードなどの幅員を確保する為の整備指針は定めているのか。
◆水辺再生課長
堤防上の管理用通路を活用してサイクリングロードや遊歩道を整備している為、管理用通路として確保した幅の中で整備している状況である。
県土整備部調整幹。
危機管理課。県民に求めている食料備蓄は、3日間。ローリング備蓄について意見交換。
建築安全課、震災対策構造指導。
会派・県生協連会議。
会派 危険ドラッグ対策PT第12回会議。
――――――――
【衆議院選挙結果について】
投票ありがとうございました(どの方にも)。
青柳仁士候補から投票日翌日午後に電話があり、話しま
私が民主党の埼玉の代表(衆議院議員)に、野党連携を
狭山などの選挙区では、共産党候補の得票を含めても野
市民要望対応。
新聞記者と意見交換。
衆議院議員会館。菅直人事務所。
地方
脱原発の今後の活動。民主党は、地方議会は、どうしな
原発について、私から申し上げた概略は、「原発賛成派
今後の具体的な活動内容についても提案し、了承を得ま
【『火山活動』が日本列島各地で、活発化】
このグーグル地図で、昨年噴火した小笠原諸島『西之島』を、“航空写真”に変えて、縮尺を関東が入るくらいまで、拡大して見て下さい。すると、西之島から海底火山の山脈が、9月末に噴火した御嶽山など日本列島につながっている事が分かります。
御嶽山だけでなく、吾妻山(福島)、十勝岳(北海道)は、昨日・一昨日で、「火口周辺規制」の『噴火警戒レベル2』に引き上げられ、一昨日は、阿蘇中岳が噴火。
「日本列島は、何が起きてもおかしくない」と思っている方も、少なくないと思います。
原発を新たに造ったり、残そうとしたり、している場合ではない。まして、「〇〇党支持だから、原発賛成」と思っている場合でもない。日本は、原発のある他の国とは違う。(米国・フランスなど)他国では、東日本大震災は起きていない。関東大震災、東海・東南海地震の3連続を心配しなければならない原発保有国もない。そんな日本に原発は54基あります。原発の『安全審査』と言われるが、今行われているのは、政府の都合の審査だ。
武蔵野市議と会合。
薩摩おごじょ(新宿)。
菅直人さんの選挙結果が出ず、まだ眠れない。
眠い!
・・・そして、午前2時55分、当確!
県議会文教委員会。
【第137号議案】県立浦和図書館の廃館
◆中川委員
何かを決定するプロセスでは、時として財政が厳しい中で『選択と集中』を考える事になる為、これから先も県民の方からの反対がある事もあると思う。
今回の浦和図書館の閉館という議案では、どのようなプロセスを踏んだのかを確認したい。
1 外部の検討機関に、一般県民の代表を選出したか。
2 新県立図書館の建設費用や現存する浦和図書館を耐震補強費用について、少なくともこのくらいかかるという概算の金額の提示が県民に対して行われたのか。
行政にとって都合の悪い情報も出し、それでも県民の理解を求めようとする姿勢が重要であると思うので、確認させて頂きたい。
◆市町村支援部副参事
1 有識者会議は、新県立図書館の機能について話し合う会議であり、新県立図書館の場所や規模について話し合いが行われた訳ではない。会議では、図書館の専門家だけではなく、ビジネスの専門家、美術館との連携の専門家などの有識者に委員になって頂き、新県立図書館の機能について話し合われた。
一般の県民は委員に選出していない。
2 新県立図書館は、場所や規模が決まっていない為、建設費用は算出していない。
浦和図書館の耐震補強費用は、現在進めている久喜図書館の耐震補強工事が、約2億2千万円を予定している事から、浦和図書館のほうが規模も大きく建設時期が古い為、これよりも費用が大きくなると考えている。
◆中川委員
1 答弁が無かったが、耐震補強費用については、説明会などの場で県民に説明を行ったのか?
2 浦和図書館の廃館について、県民からの広い意見を踏まえるべきだったと思うが、どのように進めたのか?
◆市町村支援部副参事
1 浦和図書館は電気系統や水回りが特に老朽化している。また、現在エレベーターが無い為、改修の際に設置するかどうか検討が必要である。どこまで改修するかにより金額が変わる事もあり、浦和図書館の耐震補強費用についての金額は説明していないが、久喜図書館の耐震補強費用が約2億2千万円であるという金額を例として説明した。
2 県立図書館では、毎年2月と10月に県立図書館の運営に関してアンケートを実施している。それに先立ち、1月28日に浦和図書館内閉館を検討している旨の掲示をした。アンケートでは、合計約1000件の御意見を頂き、そのうち約50件が浦和図書館の閉館に関する御意見であった。
その後廃止の検討が進んだ事から、10月22日、23日、25日の3回に分け、住民への説明会を実施した。10月22日は午後2時から、23日は午後6時から、25日は午前10時からと時間も分け、丁寧に説明した。県民からの御意見として、県立図書館の存続を求める声や、県立図書館が県庁所在地にあるべきであるという声を多数頂いた。また廃止するのであれば、市町村立図書館で利用できる県立図書館の機能を増やして欲しいという要望もあった。
【議請第15号に対する意見】
◆中川委員
教育予算の充実や、子供の貧困対策を進める事に対しての異論は無い。
国では、35人以下学級を40人学級に戻すという議論もあるので、仮に35人以下学級の堅持という内容の請願であれば賛成したが、この請願には賛成は出来ない。
現状では35人以下学級の実現をどうするかという議論がなされている中で、30人以下学級を求める請願をする事は、結果的に採択されない事が分かっているとも感じられ、違和感がある。言い方を変えれば、選挙のパフォーマンスの為に請願していると言われても致し方ないと思う。
請願者には、平場であれば私はいくらでもお話をお聞ききするので、請願という形でではなく、本県の具体的な教育課題について議論し、深めていく事をお願いしたい。
日本の前回の衆議院選挙の投票率は、59%。
みんな投票しましょう!
【投票した証明があれば、割引】
さいたま市北区・ときがわ町・神川町の入浴施設。
【狭山市の期日前投票者数、最終。4.4%増!】
前回の衆議院選(15631人)より多い16325人の方が投票。
投票率の換算で、12.76%(前回は、12.16%)。
市HPでは、投票者数を2時間おきに速報していますが、期日前投票者数を含んでいない投票率なので、足して下さい。
衆議院議員総選挙(2014年12月14日執行) 狭山市公式ウェブサイト
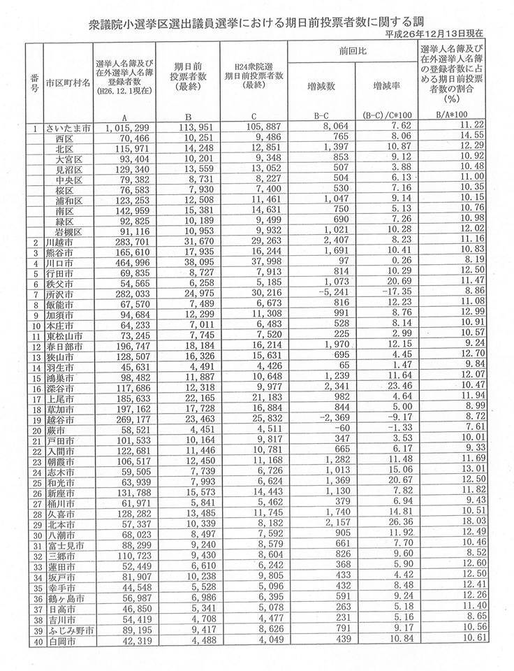
埼玉県内、市町村別【期日前投票者数、最終】
ネットには載っていません。あなたのお住まいの市町村は?
狭山市の期日前投票者数は、県内で14番目に多かったです(有権者のうち期日前の割合)。
県全体では、1割の方が期日前投票を利用されているのが分かりました。
埼玉県内、金曜夜までの期日前投票者数は、前回より5.88%増!
投票券が届くのが遅くても、多くの方が期日前投票に行かれたのですね。
【選挙で必須(!?)な2つ】
昨夜(土)8時までの選挙カーで、ノドを使い果たし、今朝は声が出ず。
今日は、北朝鮮の拉致署名活動を行うので、のどぬーるスプレーを買いました。武蔵浦和駅の改札内の薬局で買ったら、「500円以上購入でドリンク剤プレゼント」との事。選挙の時よく頂くドリンクも偶然ゲットしました。
選挙の時、のどぬーるスプレーは、しょっちゅう使います。
のどを鍛えるには、どうすればいいのでしょう?
拉致被害者家族会代表 飯塚繁雄さんなど被害者家族10人の他、上田知事、県庁
上田知事が1とやっているのは「1分でいいので、署名
拉致被害者家族
田口八重子さんの長男、飯塚耕一郎さん「私が1才の時
荒谷敏生 (あらたに としお)さんのご兄弟
「父は死去、母は92才で、昨年脳
息子に会
今日午後は寒かったですね。2時間半、街頭に立ってい
『メリークリスマス』と書かれたデパートの紙袋を持っ
署名をお願いしている側と、その前を通られる皆さんと
今日はいつものように「あなたの力を貸して下さい!」
今日頂いた署名数は、786人分。ご協力ありがとうご
今日は、衆議院埼玉10区総支部長の弓削勇人さんが運転、奥さんがウグイス。弓削さんは、ホントに有難い人です。
いよいよ明日が、投票日!
1票1票で、日本を1歩ずつ改革していきましょう!
「国民年金だけ、株での運用を2倍にして、公務員年金
「正社員が減り、非正規労働が増えている」
「消費税の増税分が社会保障に半分しか使われていない
菅 直人 候補が演説で使ったグラフ
年を取って、経験を重ねても、『派遣労働』の賃金は変
――――――――
【国民年金が危ない】
(下のグラフだけを見て下さい)
国民年金を株で運用する割合を、安倍政権は、2倍以上
リーマンショックのような事が起きれば、国民が1年間
年金を納めていない4割の方に、納めて頂く事のほうが
(今日選挙活動の休憩で偶然立ち寄ったコンビニで、連合
【増税した半分しか社会保障に】
消費税5→8%に増税されて、社会保障に使うはずだった1兆円のうち、社会保障にあてた額は、半分の5000億円。金をかけて、ビラ(政府広報)まで配って。
今後何らかの増税をする時も、今から言い訳を考えているのでしょう。
これでは国民は安心できません。
どんな政党支持者も、安心を求めているはず。
【公共事業の増は、1兆5千億円】
消費税を8%に増税しても、社会保障にあてた額は5000億円なのに、自民党政権になって2年間で増えた公共
震災復興のどさくさに、誰も住んでいない所に防潮堤を
安倍 自民党総裁(当時)は、【国会議員数削減】を約束して2年前、解散したのに。
消費税を増税しただけ。
You Tube 歴史に残る党首討論 野田佳彦 vs 安倍晋三 平成24年11月14日
【国の赤字は、社会保障が原因ではない】
それでも、国は今後、社会保障・教育費を削る予定。
①これまで消費税増税を機に、借金を増やして来た。
②ヨーロッパの社会保障の財源は、消費税がメインではない。
③低所得世帯に対して、高所得世帯の2倍以上の負担を強いるのが、消費税。
国の2014年予算で、借金は41兆円。
2014年末の借金残高 1143兆円。1人あたり817万円。
Yahoo!ニュース 「政府自身の手で貧困を深刻化させ財政悪化を招く消費税率10%-欧州の社会保障財源は消費税がメインではない」
【自民党の公約の変化は、国民をバカにしているから】
民主党政権時代、何としてでも、政権を取り戻したい自民党の【原発政策】の公約は、国民の気を引く為に「原子力に依存しなくてもよい経済・社会構造の確立」だったが、今回は楽に勝てると思って、「原発を重要なベースロード電源として活用していく」と変えた。
与党と野党の議員数の差が大きいと、与党は『国民目線』でなくなる典型。原発事故さえ、無かった事に。
投票を!
東京新聞 原発政策 変化は 自公「活用」 民・維「脱」
「政権党として妥当な政策である」と、はっきり書かれて
「民主党は…再稼働のハードルを“いたずらに”上げるこ
「自民党は…再稼働実現に取り組む姿勢を示したことは…
言うまでもなく、今は選挙中。政党や候補者への支持を
マスコミ各社に、考えの違いがある事には、何の異論も
出来る事なら、マスコミ各社には、その時の与党・政府
そして何より、最大手の新聞社が選挙中にこのように書
菅直人・江田五月氏の街頭演説会(武蔵小金井駅)。スタッフとして応援。
――――――――
【狭山市の期日前投票者数、前回以上!】
昨日も、前回の衆議院選(1667人)より多い1718人の方が投票。
累計では、前回10274人、今回11096人で、8%増!
写真は、今日の期日前投票所です。
この国を1歩ずつ改革していきましょう!
【菅直人・江田五月氏の街頭演説】
日頃、エネルギー・原発政策で会う菅さんの応援で、今夜は3時間。
街頭演説で混雑する中、6才くらいの女の子が、私の服を引っ張り、「ねえねえ」と言うので、「な~に?」と聞くと「菅さんと握手したい」との事。大人の皆さんをかき分けかき分け、菅さんの元へ連れて行き、握手できました(そんな子が何人もいました)。
今夜は寒く、手がかじかみましたが、心温まりました。子供達の為にも頑張らないと。
江田五月 参議院議員は1時間以上いて、菅さんと変わりばんこで演説。江田さんはこの後、岡山に帰るとの事。
【山本太郎 参議院議員が、菅直人候補の応援に】
「山本太郎参議院議員が、8時くらいに来る」と、駅前で選挙活動をしていて聞き、マイクで演説出来るのは8時までなので「8時、間に合わなくても来るのかな」と内心少し思った。そしたら飛行機が遅れて、山本氏が着いたのは、8時半前。それでも、地声で街頭演説。山本氏「民主党に言いたい事は色々ある。でも、民主党は、それまでの政権が取り組まなかった貧困問題に取り組んだ」「菅さんは、浜岡原発を止めた。菅さんを当選させて頂き、脱原発を」。
山本太郎 参議院議員は、8時半過ぎに地声で街頭演説した後、菅直人をよろしくと、9時過ぎまで、ビラを配っていました。菅直人 候補者本人は、集会がある為、街頭演説の後は、その場にいなかったにも関わらず。
【野党連携!狭山市駅で夜1時10分過ぎまで】
山本議員と別れた後10時に狭山に戻り、青柳ひとし候補と終電まで駅前に立ちました。私を支援して頂いている方、お1人お1人にピンポイントで声をかけてお願いし、候補と握手して頂きました。
中には「なんで維新を応援しているんだ!」と言われた事も数回ありました(語気はもっと強かったです)が、ご批判を覚悟し、深々頭を下げ、お願いしました。(内心思っている事を、おっしゃって頂けるのは有難いです)
今回の選挙は時間が無く、野党連携は初めてなので、伝える時間がありませんでした。私は現政権を許せません。何卒よろしくお願い申し上げます。
県議会。一般質問。
議会終了後、夕方5時前に、選挙カーに乗る。
――――――――
民主党 海江田代表、つい先程、浦和駅で街頭演説。
(県議会が昼休みになってからお邪魔したので、途中から聞いたのですが)
介護離職の問題や、特定秘密保護法の話をしていました。
この後、川越駅東口クレアモール入口で、12時10分から街頭演説を行いました。
【埼玉県内の期日前投票者数の状況】
埼玉県内の7日(日)までの期日前投票者数を、前回の衆議院選挙の同日と比較すると、投票所入場券の発送が遅かった、例えばさいたま市(前回比―39%)、川口市(-32%)などの期日前投票者数が極端に少ない。どの市町村が遅かったのか県選挙管理委員会は詳しく把握していないので、今後分析が必要ですが、「自公圧勝」と新聞では伝えられているものの、都市部の出口調査のサンプル数が少ないので、(突然の選挙という事もあり)今回はフタを開けてみないと分からない部分が大きいのではないでしょうか?
狭山市では、12月1、2日には投票券が届いている(市は郵便局に29日に持参)事もあり、何と!県内で2番目に、期日前投票者数の割合が多い(①北本市4.13%②狭山市3.41)状況です。投票者が多いのは、うれしい事です。
【狭山市の期日前投票者数は、前回より6%多い!】
昨日(9日)までの狭山市の期日前投票者数は、7505人。前回は7049人なので、前回より6%多い状況です。
投票者が多いのは、うれしいです。
この表は、前回の衆議院選の市役所・市民会館の期日前投票者数。黒い所は、日曜日
昨日は、狭山・入間市を回り、今日はさいたま市大宮区へ。
多くの方が手を振り、「がんばって!」と声をかけて下さいました。
感謝です!
県議会。一般質問。
県議からの依頼事項対応。
議会終了後、夕方6時に狭山に戻り、選挙カーに乗る。
県議会。一般質問。
和光市長の取り組み。
今度、市民ホールのクラッシックコンサートに一人親家庭を招待する事に。これまでは障害者をお招きしていましたが、一人親家庭のお子さんが芸術と触れる機会を作ろうというものです。家庭の文化資源の格差の問題を以前、論文で読んで、一人親家庭の文化資源の事で何かしたいという事で始めました。天満敦子さんらのコンサートなので、中身もいいと思うとの事。
――――――――
12月7日の朝日新聞に掲載されました。
写真中、維新の党の旗の隣が、私。右端が(維新の党)青柳ひとし候補です。写真は、飯能駅北口での民主党、維新の党、合同の街頭演説会。維新の党の候補者が、民主党の選挙カーのマイクで演説を行いました。民主党は、党のPRは行わず、青柳候補の応援に終始しました。
【期日前投票に行きましょう!】
「低投票率が予想される」と言われていますが、狭山市では、昨日現在までの期日前投票者数は、前回とほぼ同じです。(今回4375人、前回4387人)
期日前投票は、たまたま『投票所入場整理券』など何も持っていなくても、【市役所】か【市民会館】で、出来ます。
市役所は、8時半~20時まで。 市民会館は、9時半~19時まで。
≪皆さんの1票、1票で、日本を1歩ずつ変えて行きましょう!》
衆議院議員総選挙及び最高裁判所裁判官国民審査 狭山市公式ウェブサイト
市農業祭。
県道 東京狭山線(有料橋~狭山台~所沢へつながった道)に11月21日に、農協の農産物直売所がオープンし、今日は市の農業祭で直売所でもイベントが行われました。
市内障害者団体クリスマス会。
市高齢者福祉実践・研究大会。認知症シンポジウム。
認知症予備軍(正常でもない、認知症でもない状態)13%。
パーソナルケアと言って、その人らしいケアを。
(映像で)実名で、60代などの認知症と診断された本人・家族・介護職員がインタビュー。実際の生活風景が映される。行方不明になり、千葉の高砂で見つかった。
入間基地航友会(夜6時半に群馬入りし、宿泊)。
朝8時~夜8時まで、選挙カーに乗って、マイクを握る。休憩は昼食の15分間だけ。
【野党共闘!】
飯能駅北口での、民主党、維新の党、合同の街頭演説会。
新聞記者によると、野党共闘で、具体的に活動しているのは、県内でこの選挙区だけとの事で、記者の注目度が高い。昨日も5社の取材がありました(選挙中なので、新聞には、政党名など名前は出ないかも知れませんが)。
入間市駅では、民主党の入間市議が、街頭演説で(維新の党)青柳候補への投票を呼びかけるだけでなく、青柳候補のビラを配りながら、地声で候補の名前を1時間連呼しました。
8時以降は、選挙事務所で打ち合わせ。
新聞記者と意見交換。
(10時過ぎに帰宅)
県議会。一般質問。
会派会議。
会派 危険ドラッグ対策PT第11回会議。弁護士の方をお招きして。
危険ドラッグ取り締まりの実態について私から報告。
新聞記者と意見交換。
狭山に戻り、衆議院議員候補と会合。埼玉初の野党共闘が具体的に正式決定!
市議候補予定者と打ち合わせ。
(11時前に帰宅)
衆議院候補と意見交換。
危険ドラッグ対策調査。取り締まり状況。
事務所。
市民訪問。
謄本の記入例が狭山市のHPより毛呂山町のほうが分かりやすく書いてある(特に市外の申請が)とのご指摘を頂く。
夜は、自治会役員さんと会合。
本田先生と意見交換。
狭山に戻り、自治会役員と会合。
党候補街頭演説。
市内建設業者と意見交換。
事務所。
今日から事務所の壁をライトアップしました。タイマーでON/OFF管理しています。日頃は節電に努め(事務所にクーラーはありません)、ライトアップで、街をあたたかく。
教職員と意見交換。
市民意見交換。鉄道政策。
入間基地青年同友会(入間市)。
基地幹部と意見交換。航空祭の今年の状況と今後の対応について。
事務所。
(12時に帰宅)
――――――――
【衆議院選挙】
狭山市などの選挙区は、野党共闘で、青柳仁士さんが立候補。(青柳さんは前回の衆院選で、朝霞市などの選挙区で立候補しましたが、民主党の候補とバッティングしているので、選挙区替えでこちらに来ました。)
今日10時半から狭山市駅西口で、維新の党共同代表の江田憲司さんが来て、青柳さんとの街頭演説会がありました。
他党候補出陣式。
市内建設業者と意見交換。
事務所。
青柳候補の出陣式で演説。
事務所。
(夜1時過ぎに帰宅)
――――――――
菅原文太さんと昨年少しお話させて頂きました。
この映像(沖縄知事選挙:菅原文太氏のスペシャルゲストあいさつ)はわずか1か月前の文太さんの演説(昨年よりやせられたように感じます)。ぜひご覧下さい!
そこら辺の政治家とは比べ物にならない、政治家ではないからこその重みがあります。
文太さんが居なくなって寂しいです。ありがとうございました。
菅原文太さんが『脱原発』活動をなさっていて、昨年7月の参議院選挙で、巣鴨のとげぬき地蔵の商店街を、演説しながら一緒に回らせて頂きました。
文太さんにまず私が「なぜ脱原発の活動をおやりになろうと思ったのですか?」とお聞きしたら、「そんなの当たり前だろう」と言われました…。
この時にはもうご病気だったのですね。
しっかり頑張ります。ありがとうございました。
【菅原文太さんの奥様のコメント】
「小さな種をまいて去りました。一粒の種は、日本が再び戦争をしないという願いが立ち枯れ、荒野に戻ってしまわないよう、共に声を上げる事。すでに祖霊の一人となった今も、生者と共にあって、これらを願い続けているだろうと思います」
「7年前に膀胱がんを発症して以来、以前の人生とは違う学びの時間を持ち『朝に道を聞かば、夕に死すとも可なり』の心境で日々を過ごして来たと察しております」
死を覚悟された方は、違いますね。
がんばりましょうね。頑張らなくちゃね。
【菅原文太さん 脱原発を語る】
文太さんが『脱原発』活動をするに至った経験談など。
「政治家だろうと、農家だろうと、個人として言いたい事を言わなきゃ。憲法が定めてくれているじゃないか。言論の自由を」
「原発にずっと無関心だった。でも福島の事故で変わった。やめたほうがいい、危険物は。科学によって造られた物が、無謬(むびゅう。誤りのないこと)であるはずが無い」。
【菅原文太さん 集団的自衛権を語る】
文太さん「いまの自民党は『ナチスに学べ』とバカな発言をした副総理を更迭できないほど、自浄作用を失っています」
「いつの時代も政治家は、国民を言葉たくみに誘導します」。
この他、文太さんの戦時中の体験の話など。
日刊ゲンダイ 菅原文太さんが残した”遺言”「日本はいまだ危うい局面にある」
【菅原文太さん「異端者でいいじゃないか」国民に送ったエール】
文太さん「国は『金が無い、増税しかない』と言うけど、ぜひ聞いてみたい。日本人が汗水流して稼いだ金はどこへ消えたんですか?と。何兆円と稼いだ金が雲散霧消したのなら、この国にはハイエナやハゲタカが群がっているんだ。
近頃は『清潔さ』ばかりを求め、政界でも異端者やアウトロー、変わり者を受け入れない風潮がある。
世の中の方がネジ曲がっているんだ。ヘンクツや異端者と呼ばれてもいいじゃないか。変わり者の生き方の方が面白いよ」。
菅原文太さんが“若い連中に伝えたい事がある”と遺した「弾ぁ、まだ残っとる」
文太さん「いいんだよ。人間は孤独で」。読んでみて下さい。
【吉永小百合さんも、体を張っている】
吉永小百合さんが、原発・集団的自衛権などについて語り、現政権を批判。(『女性自身』今年 3/25号)
吉永小百合さん「地震が無い国なら事情が違うが、原子力の平和利用なんて無い。核と人間とは共存出来ないものだと、事故で自覚した」。
吉永小百合さん「日本人だけはずっと、未来永劫(えいごう)、核に対してアレルギーを持って欲しい」
吉永さんはただ言っているだけではない。
核のない世界を目指し、ライフワークとして、原爆詩の朗読会を行い、朗読CDの広島版と長崎版を作って来た。「私は俳優だから、詩を読む事が一番伝わる」と述べ、「次は福島版を作りたい」と語った。
朝日新聞デジタル:吉永小百合さん「どんな状況でも、核兵器はノー」
吉永小百合さんがこれまで、反核・脱原発に取り組んで来られた『年表』。
筋金入りです。ご覧下さい。
吉永小百合さんの反核インタビュー詳細。
(朝日新聞デジタル:「被爆の痛み、未来へつなぐ」 吉永小百合さん、命の朗読)
読んでいると、ウンウンとうなずいてしまいます。
もの静かな方ですが、もの静かゆえの力を感じます。
吉永小百合さんの色紙。
「いつまでも、語り継ぐ」。
不撓不屈(ふとうふくつ)の精神を感じますね。
県庁。
記者クラブ。
会派会議。
12月県議会開会。
議案説明会。
・老朽化マンション建てかえ・撤去の促進
昭和56年以前の建物で耐震診断をしたもので、容積率をアップ出来る。
・『自治宝くじ』の昨年度の県内販売実績は、360億円で、県への収入は140億円。
私からの質問。県独自のPRは行っているのか?財政課長「行っていない。宝くじの売り上げは全国的に下がって来ている」。
・埼玉県警の警察官が、海上保安庁の巡視船に乗り込み、尖閣諸島などに警戒活動を行っている。
埼玉県警は既に6回、36人。各14日間、派遣しているが、違反船舶の間近で対処した事は無いとの事。
人事課。
公務員の『地域手当』とは?
その自治体の地域の従業員数50人以上の事務系社員(工場の社員は含まない)の賃金平均をもとに、給与に上乗せされるのが、地域手当。
埼玉県は、現状4番目(神奈川)に高い。①東京②大阪③神奈川。
県職員の給料は、国に準じて、今後削減していき、逆に地域手当を平成30年までに10%にあげていく。現状、神奈川県は13%、大阪府11%、愛知10.5%。
地域手当は、現在の埼玉県庁の新入職員で月1700円分。
田園まちづくり課長。
圏央道周辺の産業誘致状況を確認。
企業立地課副課長。
産業誘致で現状、中小企業への誘致支援策が無い事について問題提起。
健康長寿課長。
特別支援教育課長。入間市内に新設される特別支援学校のあり方について。現在の教育現場の状況を私から報告し、今後の特別支援教育のあり方について意見交換。
県議と意見交換。
他党職員と意見交換。
――――――――
埼玉県で【在宅歯科診療】を進める対策を、今日から始まった県議会で補正予算案が提出されました。
そんな今夜、NHKクローズアップ現代で『長寿の鍵は“口”にあり~口腔ケア最前線~』が放送。
埼玉県で【在宅歯科診療】をなぜ進めるのか①
介護が必要な方のうち、9割の方に歯医者さんが必要な
埼玉県内の歯医者さん(3500件)で、訪問治療を行
埼玉県で【在宅歯科診療】をなぜ進めるのか②
県が、在宅歯科診療に必要な持ち運び出来るレントゲン・治療機械を購入(1台300~400万円)、歯科医師会に貸し出しを行ったり、病院に歯科医師を派遣して治療を行ったり、研修会を行うなどして、今後、在宅歯科診療を行う歯医者さんを900件くらいに増やしたい。
――――――――
国の借金の信用が落ちました。(今後、円安が進み、物価が更に上がってしまうかな)
原因は、消費税を値上げしなかったからではなく、ムダな公共事業をやり続けて、ムダに借金をしているから。
――――――――
『集団的自衛権』が流行語大賞に選ばれるとは。
流行語大賞は過去、小泉語録以外は、政治的に意見が分かれるテーマをほとんど選んでいないと思います。