払えないほどの増税をしようとしている県庁の『国民健康保険』方針への提言書 〜県民の『命を守りぬく』〜
最終更新:2024年10月29日 15:29
払えないほどの増税をしようとしている県庁の
『国民健康保険』方針への提言書
県議会議員 中川 浩
●12月7日の学習会では、下記の資料(2点)を使用して学習します。
- 国民健康保険に関する学習会 配布資料1(PDFファイル)
- 国民健康保険に関する学習会 配布資料2(PDFファイル)
- 説明資料(中川) 国保税-督促研修資料-埼玉県(PDFファイル)
2023年12月7日(木)に配信された学習会の映像をYoutubeにて公開しました。
是非ご覧下さい⇩
『国保』など税金払えない家への【取り立て 2人自殺】
埼玉県内🎥ニュース映像になってました。現在調査を進めていますが、県庁では何の教訓にもなっていません。県庁の存在意義とは???
県庁が埼玉県は『ダサいか・ダサくないか』調査を職務としている中。
埼玉県東秩父村の住宅で高齢男女2人の遺体(NHK News Web)
『反対しただけで終わり・与党のせい』に出来ない (😣)
野党が今までやって来なかった事。『反対してダメ(可決)だった後、市民をどう【死なせない】か』。(私も若い頃は、今に比べて、反対だけだったかも)
”自治体”議員の会を設立した理由。”自”ぶんたちで”治”める。チームになって、知恵を絞り、行動する。
県議会が22日に終わった後、年末年始に⇩私が読む3冊📷。明日(木)は重い(分厚い)から講演会場に持って行かない予定だよ。
『取り立てのリアル』
(督促があるので)ポストを開けたくなくなり、電話に出たくなくなり、チャイムが鳴っても居留守をせざるを得なくなる。そんな生活が何百日続くのか。普通に眠れますか?
【ホントに払えない】場合、それは『健康で文化的な最低限度の生活』ですか?(県庁に今日尋ねた事)
私は、(明日以降、死んでしまう)困窮者の方々のリアルには向き合えてはいない。 (📷県庁の取り立てマニュアル。50ページのうちの2枚)
市町村が『基礎的自治体』として責務を放棄するのか。 (昨日参加出来なかった方)昨日の資料には入っていないので、私から添付します。
他市は既に立ち上がっています。
行政が「仕事になっていない」と感じるのは『要望』と言ってしまう事。『交渉』では?
⇩素晴らしいと思われる方もいらっしゃると思いますが、『要求』として普通。
県庁による市町村への取り立て強化は、「来年1月に各市町村に行う」との事。
減免制度を県庁は検討もせず(公言)、ホントに払えない人をどうするかの検討は今日まで何も行っていない。
誰の為の『公務員制度』なのか。そこまで国の言いなりになって。
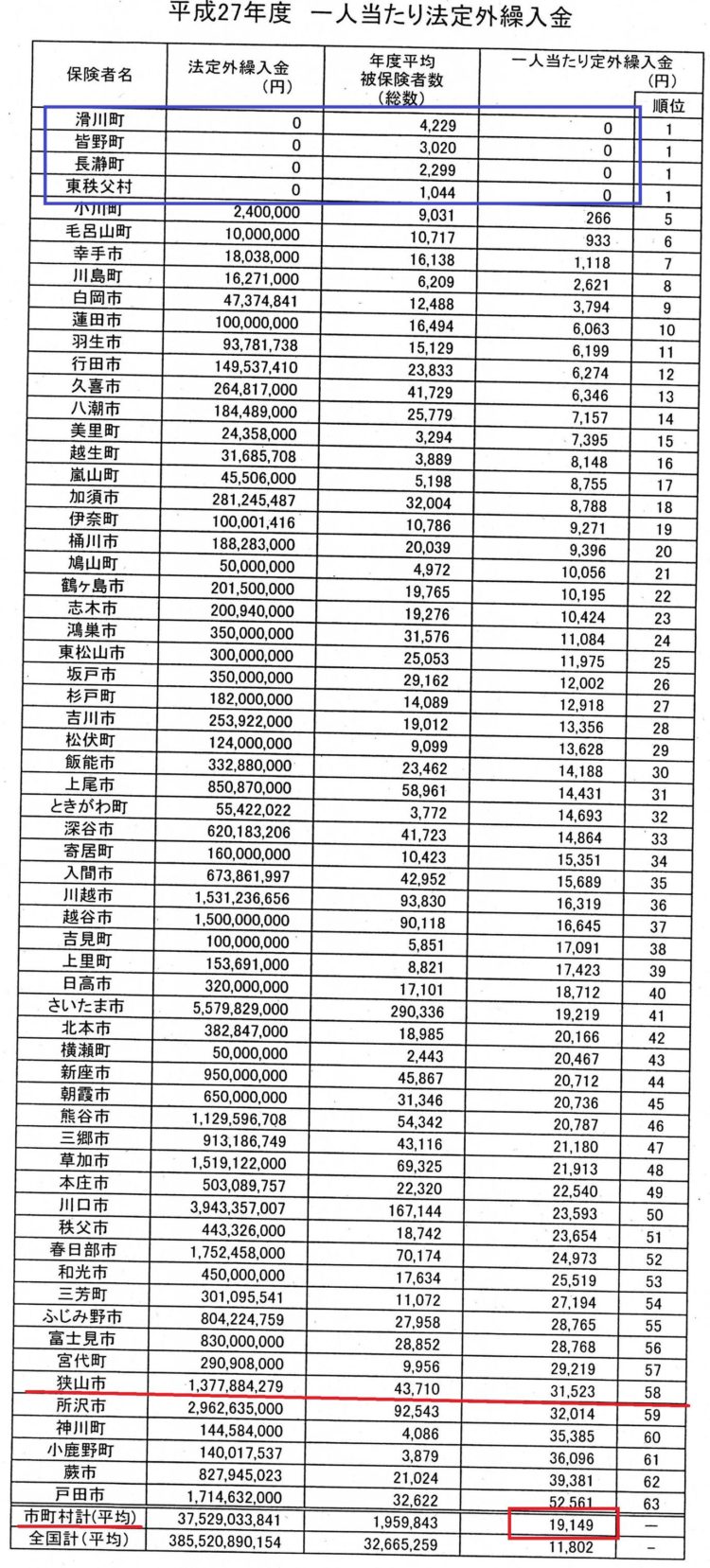
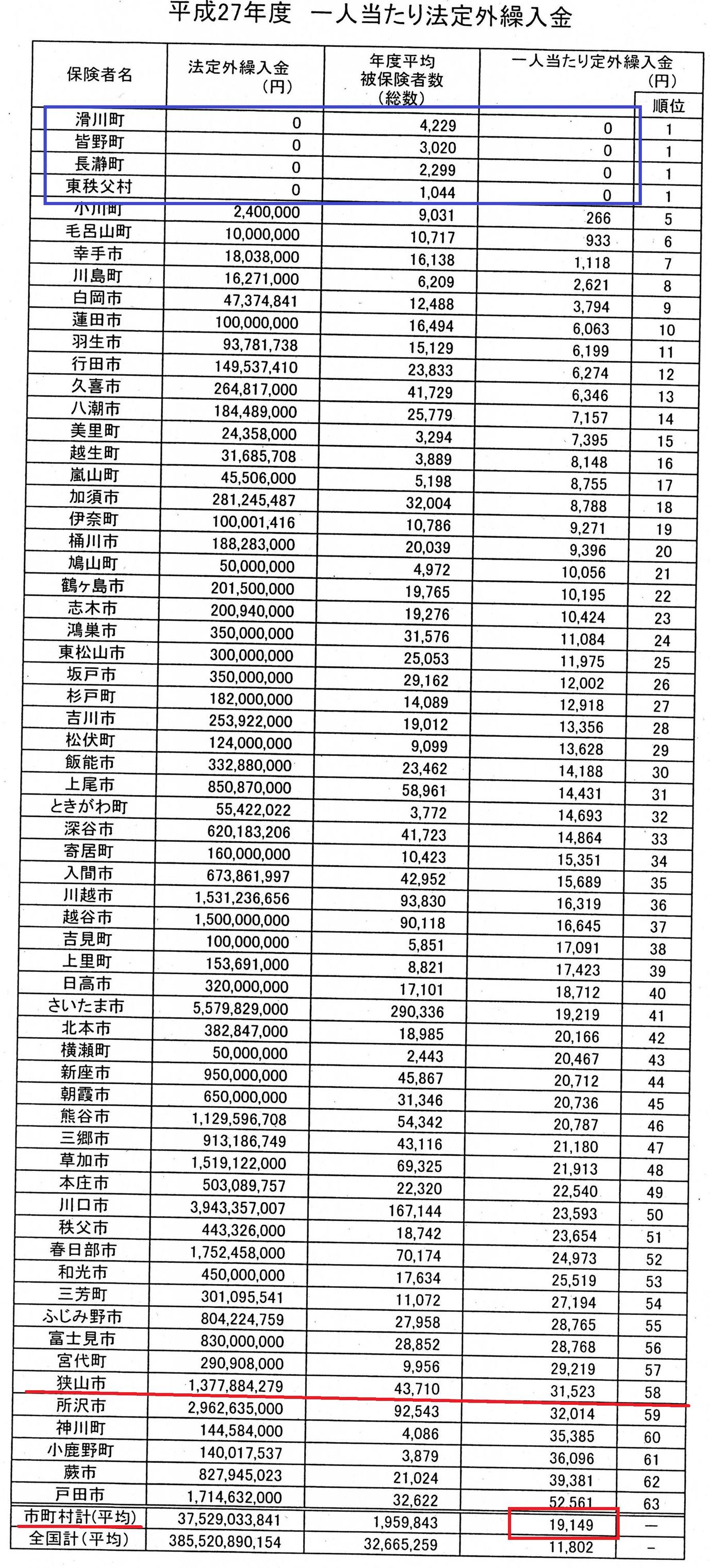
この表をもとに県庁は『取り立て』を強化
まだ県庁が、市町村に『低所得者』対策での税金投入をやめろと言う前(2014年)でさえ、滞納は⇩これほどあった。
📷これをもとに今日県庁に尋ねた事「差し押さえは適正だったと何をもとに言えるの?」。答えを明日待つ。
色を付けた所の選挙区の県議は、どうするのだろう??(資料はまだ作成途中です。県庁が作らないので)
「県庁は、📺報道を見ても行動を改めない」
市会議員の時には思わず、県議になって痛感している事⇧。
⇩この報道は、県庁の発信なのに、行動は改まらない。大幅な『増税』方針案は変えない。誰の・なんの為の調査?新たな事を県庁が何もやらなくても、『増税』をされるほうが、低所得者の方々には、たまったものではない。耐えられない。
⇩県庁の増税案は、家族が多いと増税額が増えます。
(📷写真は4日の読売新聞)
『埼玉県庁職員 今年度の年収UP総額』がおよそ【68億円】にのぼる事が今分かりました。
過去7年間で最大のUP額で、値上げ案が県議会で提案される事が既に報道されています。賛成できる社会的要因が見つかりません。議員になってしまうと「人事院勧告」と言って賛成してしまうのは、次の選挙で自分が絶対に落選するとは限らない・あるいは生活に困ってはいないから、と世間では思われますよ。公務員には労働組合があり、労使交渉も行われており、強大な力を持っているのは、ご存知の通りです。
市町村も含めこの間の年収UP額で、国保の『増税額』そのものをまかなえますが、どうして困っている県民には税金は使われないのでしょうか?(公務員の年収を下げてとは言っていません)さて、県内の年収UP合計額を県庁が把握している訳がありません。法律で定めているのですが。『円安』の大きな要因です。その意識が。日本は衰退の中、増税を県庁は今後進めていきます。
(『国保』担当歴20年以上)
- 2023年11月13日 国民健康保険に関する学習会 配布資料(PDFファイル)
来年の増税額を決める11月30日(木)の国民健康保険の”審議会”なのに、今日(29日)先ほど、資料が公開に⇩。(傍聴を出来るだけ避けたいんだろうなぁ)
皆さんに直接影響のある重要な事について、次に(県庁からでなく)私から皆様に報告申し上げます。m(_ _)m
私以外の県議92人(定数)から、国保について説明がありますように。(私のほうでは市町村議員と連携して具体的に取り組んでいます。)
頂いたコメントを紹介します
「傍聴が実質できないのもやはりおかしいですね。オンラインなのに10名限定なのは理解できない。見せたくない、見られたくないとしか思えないですね。」
------
県庁独自の【増税】方針
来年度、国民健康保険に市町村独自に税金投入を減らす事により『増税』される合計は、約18億円。それが国民健康保険利用者1人あたりいくらか は、答えを県庁は算定していないそうなので、回答を待っています。
(📷県庁資料より。回答あり次第お伝えします。)

-------
県 【更なる来年の増税 更に1人あたり+5385円】
先ほど書いた増税(約18億円)の他に、更に、国政の方針の言いなりで、医療費の増加を見込んだ額そのまま、国保利用者に増税するとの事。
その医療費増加分と、先ほどの増税分で1人あたりいくらになるのか、明日の審議会で決めるのに、答え無し(回答待ち 29日17:15現在)。
【増税】方針の県庁に市町村は言いなりになってしまうのか?踏みとどまるのか?
📷この空欄⇩(赤枠)に、市町村数が加わると、イコール増税になります。『赤字解消』とは、市町村独自に国民健康保険に長年使って来たお金をゼロにしたという事です。
(県庁から空欄の回答を待っており、回答あり次第、お伝えします。県内市町村数は63。)

頂いたコメントを紹介します
「市町村も市町村で、このお金が浮いて、好きに使えるので、唯々諾々と県庁の方針に異議を言わないみたいです。
国民健康保険のリスクが高いのはなぜかということを全く考えもしない呆れる案件です。
がんばってください。」
-------
しかし県庁は📷「必要な助言」と書き、市町村に『増税』をこれまでも(現在も)迫っており、国民健康保険利用者ではない公務員は言いなりになり始めています。なお、県庁職員の健康保険には51%の税金が使われており、それは減りません。この「助言」について県庁担当管理職に聴いたところ「理由を聴取しても、理由の如何に関わらず、赤字削減を求めるのみ」との事でした。
これらが、明日(木)審議されます。

大事な部分は、あす午前中、県庁から私に回答があり次第、即お伝えします。県庁の資料にはほとんど大事な事は書いていません(3年後までの増税方針を審議会で決めたのに、まだ)。前回(10月)の県議会のように【撤回】するのなら、”審議会として”は明日がチャンスです。 (📷️明日の審議会メンバー⬇️)

現在の案では、4年後の令和9年度までに新たに1万68円増税されます(これには、今後①国保加入者が減ったり、②インフル流行などで医療費が上がったりする増税分は含まれていません)。
『低所得』の県民の事を考えず、これほど先走っているのは、47県のうち3県だけです。そうでなくても、自殺が増えているのに・・・。
県議会で県庁の案について、12月18日(月)に質疑が(委員会で)行われ、何事も無ければ22日(金)議会最終日に事実上決定してしまいます(虐待条例では、委員会後に『廃案』となりましたが)。またその決定をもとに、各市町村が増税を議会に提案していく流れです。
(7) 【大増税】計画 埼玉県の『国民健康保険』方針 オンライン学習会 | Facebook
(収納率は『取り立て(収税)』を強化すれば、応能に関わらず上がるのはご存知の通りです)
県内4町村しか独自の『税金投入ゼロ』じゃない。
都市部が税金投入が多いのは【非正規】労働・低所得が多いからで、いわゆる農村・山間部は、税金投入が少ない状況に全国的にあります。
以前は6割以上が国の予算で運営していたのに、市町村独自の税金投入を『法定外』と言い放っています(県資料)。困っている住民に寄り添うのが”自治”体としての県庁の存在理由のはずですが。
(平成26年以前のデータも県庁に請求し、お伝え出来ればと思っています)

狭山市(
⇧繰り入れの状況と、⇩【払えていない】状況を、見比べて下さい。
“実際の“国民健康保険【税の取り立て】
勤務先に「給料を差し押さえる」連絡があり、市役所に行ったら職員に「財布の中身全部出して下さい」と言われ、有り金4千円を渡す。狭山市の近隣市であった今日先ほど教えて頂いた事。生きていけないでしょ。払いたくても『払えない人』の相談体制を強化して行きます。【増税】されて生きて行けなくならないように。
【増税】を決定する審議会なのに 県庁組織の劣化なのか
県庁は『虐待条例廃案』時、政策形成段階の情報が大事だと県議会にクレームを付けたが、6日後に迫った国民健康保険の審議会の資料を県庁は開示していない。更に、傍聴はオンラインのみで、5人のみ、傍聴申込〆切のわずか4日前に人知れず県庁のHPに入れてあって(報道発表といっても記者会見などしていないから、どこも報道していない)、もう申し込み期限を過ぎている。あきれては、いられず、改善を求めています。 虐待条例より、ひどくないですか??
---------
打ち合わせの結果、『リアル傍聴可』になり、オンラインも前日まで申込み出来るようになりました。
⇩実際の県庁ページ。県庁HPのトップから一般の方が、どれほど探しにくいか。毎日県庁のHPを見ている一般の方などいない。
(以下の文書は、県庁に9月に送ってあり11月7日の国保運営協議会で配布されました。数値は全て確認済みです)
1,根幹として、『県民全体と、国保加入者の年収の違い』を、運営方針にきちんと明示する必要があります。
年収300万円以上の世帯は、県全体では50.8%ですが、国保加入者では、わずか14.6%。
65才以上が加入者に占める割合が44.7%と高い事も、国保そのものが、担税力が低い事を示しています。
2,県庁の意向として、県国保協議会の委員さんの中に、低所得の国保加入者を入れていないと、特に今回のように国保税の大きな『値上げに直結』する事は、“直接”審議出来ませんが、今後公募するなどして入って頂く仕掛けをしないのでしょうか(市町村職員ではなく)?今後5年間の方針を決める際ですから、その部分の方針も明確にして下さい。
入れていない中で「充分審議した」と県庁に言われても(県民コメントは、案が固まった後ですので)、大変不充分。大体、なぜ県民コメントを募集する際、記者会見しなかったのでしょうか?多くの意見を伺う姿勢が見られません。実際に提出されたコメント数という結果が物語っています(前回の提出者・団体数と比較して下さい)。
3,国保被保険者1人あたりの所得が「埼玉県は4番目に高い」とする県の方針案の誤った視点
まず何より、国保を滞納している加入者数は、埼玉県は全国6番目に多い状況です(令和3年)。
消費者物価で埼玉県は全国でワースト3番目と高く、1番安い(群馬)県に比べ5.6ポイントも高い。物価高だけを取っても、埼玉県はそれだけ『可処分所得』が少ないという事(これを協議会で説明を。この説明が協議会でなされていない中、『4位』という文字を県庁は“一人歩き”させています。行政であるのに、いくらなんでもこれは客観的でなくあまりにも恣意的)。埼玉県という都市部においては、物価が高いだけでなく、何かとお金がかかる。数字を切り取るのではなく、エビデンス(客観的データ)で、広く県民に説明をして下さい。
4,埼玉県の自殺者数は、コロナ禍だった一昨年に比べ7月末時点で18%も増、子どもの自殺に至っては昨年比3割増(10月末現在)という状況は(きちんと協議会で報告を)、子育て家庭がとても厳しい経済等の状況に陥っているという事(困窮している何十家族と直接接しているので、断言)。フードバンク・子ども食堂だけではどうにもなりません。
現在の第3期方針案のままでは、県民の【自殺を一層増やす要因の1つ】となります(断言)。客観的に見て『値上げありき』ですので。
また、(委員の皆様ご存知の通り)経済状況から、県内の治安も悪化しています(詐欺被害 前年比増)。
現在の第3期案は、2期案を踏襲するもので、上記に挙げた事は第2期の時には想定していなかった状況です。
国民皆保険と言われている中、国民健康保険は、健康保険制度では最後のセーフティーネットのはずですが、皆保険を守るどころか、現在の第3期方針案は根幹が逆行しています。
税金・社会保障料を払う事が困難な仕組みにする事は、避けねばなりません。
医療費の増加による応分の負担増だけなら、致し方ない部分もあるのかも知れませんが、加入者の減少は、国保加入者のせいではありません。県は以前からそれを分かっていたはずです。
増税して統一する埼玉県はなぜ減免を統一しない?
「検討していない」と埼玉県
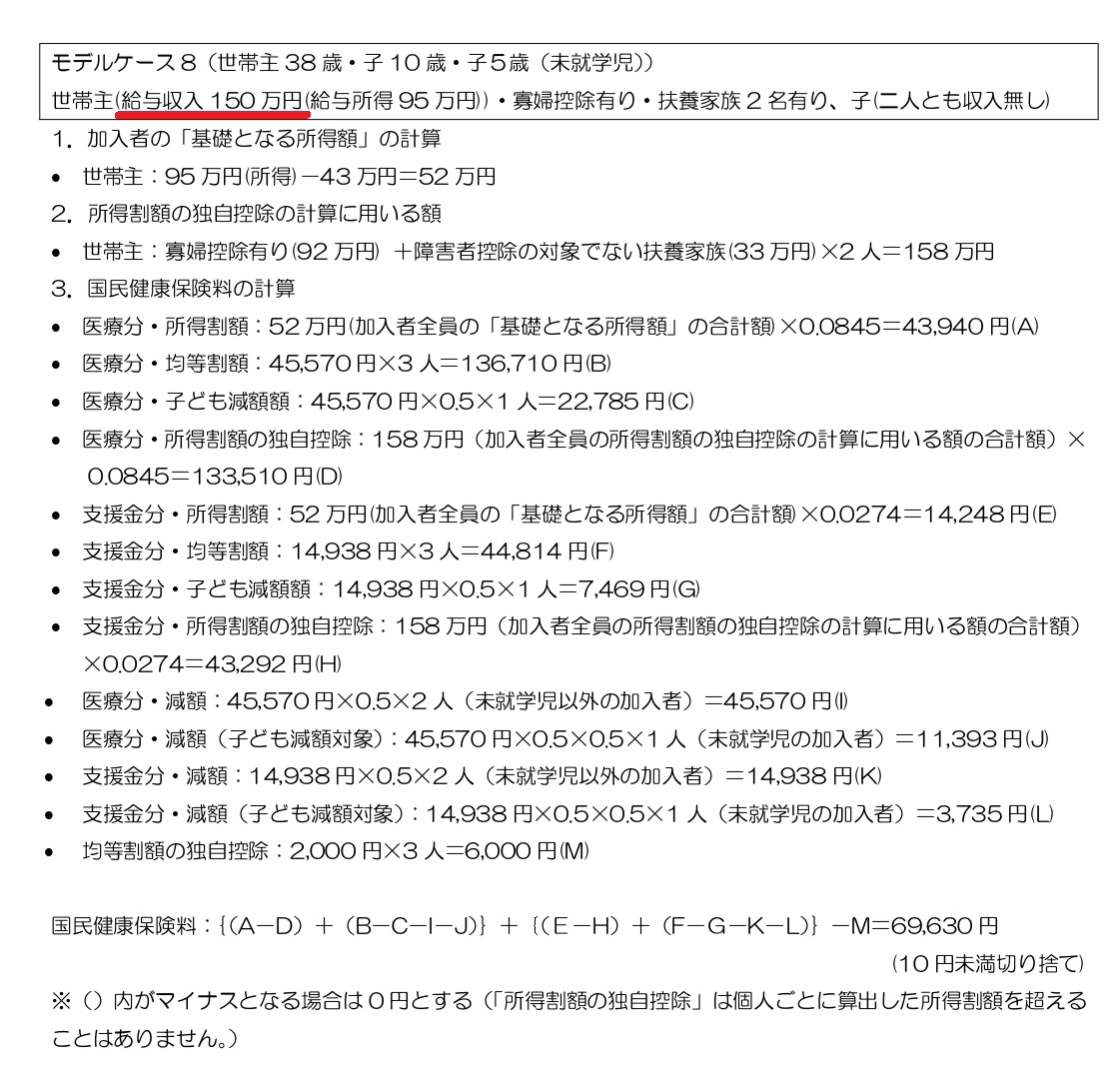
5,名古屋市の減免制度のモデル
資料②
埼玉県庁が『統一』させたいとの考えなのであれば、なぜ名古屋市のような減免制度で、統一しないのでしょう?
新たな減免制度を創設しないで、値上げだけでは、加入者は危機に瀕します。名古屋市の所得割の算定基準は、いまの「旧但し書き」ではなく「住民税方式」を従来採用していた事から、それに合わせた対応を減免制度としてやっているのでは。『旧但し書き』は基礎控除(43万円)以外の所得控除を認めていませんが、名古屋市は所得控除のうちいくつか認めている扱いではないでしょうか?
県庁の『低所得者』への【増税】方針がひどく、他県の対応が優しくて、泣けて来た
📷写真は、熊本県の町の広報1面TOP。一方、埼玉県は、低所得の県民に対し、更に増税しようとしている。
町の職員は、”困っている住民”が見えている。埼玉県庁は、国の言いなり・公務員の論理。県庁と話したら「埼玉県は進んでいる」と言うが、それは、国の言いなりで増税を早く行う発想なだけ。
ホントにテッシュで涙ふきました。
広報あしきた2019年7月号 (熊本県芦北町)
埼玉県の現在と今後の『増税』方針と違い、子育て家庭に独自の『減免』を行っている他県の町⇩。職員の方に伺ったら「『全ては21世紀を担う👦子ども達👧の為に』をまちづくりの目標としている」との事で、そのように文書に書いているだけでなく、実際に実践されている。
埼玉県庁の『日本一暮らしやすい』のスローガンは、低所得者に対しては、逆行させようとしている(後日分かりやすく詳報)。
埼玉県内の市町村職員・議員の皆さんは、今からでも、この⇩町の取り組みの実施はいかがでしょう?ぜひ👍。 (昨夜は狭山市の近隣の市長と話しました)
『全ては21世紀を担う子ども達の為に』と書かれたまちづくりの目標。
埼玉県庁は『増税』の方針を来月決めた後、「税金の投入を減らして、増税する」と本当の事を書くわけない。健康保険だけがなぜ世帯主以外・子ども達に税金をかける??? 県庁職員の健康保険は51%も税金を使っているのに、国民健康保険はそれ以下で、更に今後、増税方針。
私達が住む県が、⇩こんな街だったら、いいなぁ。 (📷町広報の表紙⇩) これは『なんでもタダ』とは異なる。
資料③
6,神奈川県では、(上記③の資料の通り、結果として)他の健康保険制度と比べ、国保加入者がいかに不利であるか、有権者に示していますが、埼玉県は他の県に比べ方針案の策定を急ぎ過ぎ、準備が大変不充分である事はこのような資料を作成していない事からも明らかです。この資料は『日本一暮らしやすい』を掲げている埼玉県として、きちんと方針決定までにお示し下さい。(神奈川県のように、所得でなく県民に分かりやすい『収入』での比較で)
国保は、他の制度と全く違い、なぜか家族が多ければ負担が増えます(対象となる家族全員分の保険税を払う必要があり、人頭税と言われています)。
国民健康保険は、負担の違いだけでなく、『休業補償』がありません。(傷病手当金 1日につき標準報酬日額の3分の2に相当額が勤務に復帰するまで支給)
このままの第3期方針案では、県内の『少子化に拍車』をかける要因を1つ増やす事となります。(運営方針案において、この事に反論がおありになるなら、具体的に)
資料④
7,国(国庫支出金)が、国民健康保険歳入の6割分を1983年までは払っていたのに、現在は28%(埼玉県内。R3年度)に減額されています(上記資料④)。その事が協議会でも説明されていません。それでいて、国保が『赤字』などと県民に言うのは、はなはだ失礼です。
市町村独自の繰り入れが「税金の二重取り」と誤解を与えているようですが、国保に占める一般的な税金の投入の割合は何%でしょうか?(令和3年度)
一方、県庁職員の皆さんの健康保険制度の県庁の負担割合は51%。二重取りとおっしゃるなら、国保以上に二重取りと言われてしまいます。また6割以上を会社が負担している企業もあります。
そもそも税の根幹である【所得の再分配】に反した埼玉県の方針案になっているのではないでしょうか?
国保を見る視点として、他の健康保険が〝いがみ合う〟ような状況は、県庁のSDGsの方針に反するばかりでなく、特に過去最悪の、出口の見えない不況下では避けねばなりません。
繰り入れを県庁はゼロにするよう市町村に求めてます。
『法定外繰入』などと国の用語と合わせようとしているのかも知れませんが、方針を読むメインは県民ですので、分かりやすい表現と使い分けて頂きたいです。『法定外』と県庁があえて県民に言うのであれば、『法定外=いけない事をしている印象』を植え付けている感がぬぐえません。この状況は言いかえると、県庁が県民と正面から向き合っていません。
そして各市町村で県の方針に則り、国保税を値上げをする場合、「市町村独自の税金投入(法定外繰入)が県の方針で削減された影響額は、今回の値上げ要因の〇%です」と明示しなければ、加入者に対し、フェアではありません。現在そのようにしている市町村は無いのではないでしょうか?県が見本(マニュアル)を示す必要があります。(民間の値上げでは理由が報じられています。「原材料高により」などと)
生活が苦しく『国民健康保険税』を滞納している方の(給料が振り込まれる)通帳などの📷️差し押さえ。自己破産しても、なぜか税金は破産にならなかったりするのでしょうか。”払えない人”の『相談体制』について一昨日は複数の弁護士さんにお聞きしました。県内の国保税の『差し押さえ』は年間、2万件。国保税の取り立てや、差し押さえられて生活出来ず、自殺したり、体調が悪化して死んでしまったりしないようにしていかなければ。多くの自治体議員の力が必要です。SDGsは、埼玉県では空想です。
行政は実際に「取立て」という言葉を使っています⇩し、『実態として事実』です。 https://www.city.osaka.lg.jp/zaisei/page/0000555767.html
健康保険税『滞納』が11%(全国)って、現状でさえ、もはや『国民”皆”保険』じゃないのでは? その上、今後1人あたり1万円も、更に増税??? 払えるのに払わない人には、行政は『差し押さえ』を行っているので、『払えない人』は、国保税”だけ”の滞納ではないです。⇩近年、滞納者が減っているように見えるのは、『取り立て』が強化されているからです。病院に行けないどころか、生活が危機に。 (※市区町村によって保険税を保険『料』って言ったり、まちまちです)
国民健康保険(国保)の保険料の支払いが厳しい。負担軽減制度はある?
https://news.yahoo.co.jp/articles/034a64c2b368117bafd507257d49a14b85774b3d
県が税金投入をやめるよう方針を出した事で健康保険税を上げるなんて、こんな時代になるとは夢にも思いませんでした。これでは『年貢』・弱者からの『搾取』です(県庁からの客観的エビデンスに基づく異論は、いつでも受けますが、出て来た事がありません)。
埼玉県内で⇩このように市役所が広報に書いた市町村は無いと思います。
大阪・寝屋川市が3年前に広報誌に掲載したものです。県庁に「県の方針で値上げするのなら『税金投入をやめるのが県の方針だから』と市町村が市民に明示する『見本』の書類を送るように」以前から求めています(行政は『書類が全て』・”マニュアル社会”なので)。それを明示しないのは、きたないです。
9、国の意向では、市町村独自の繰り入れ(県が現在言っている『法定外繰入』)を解消するよう求めているのは、第3期運営方針案P15の『ア』のみで、イ・ウは国は求めていません。しかし、埼玉県は独自の判断でイ・ウも含めています。それは、加入者にとって不利益でしかありません。一方、分かっているだけで8道県(北海道、福島・大阪・奈良・和歌山・佐賀・沖縄・神奈川県)では、現にイ・ウの解消を含めていません(協議会で説明が必須。ペナルティはありません)。単に統一する事がいい事と、埼玉県庁は勘違いなさっています。
『国保加入者を守る為』、8道県にならい、基金への繰り入れ方針明記を。今からでも全く遅くありません。
資料⑤ 国民健康保険加入者の変化
時代が変わったのに制度を変えてない
10、(上記資料⑤のように)埼玉県と違って他県では、『統一化』の年限を国が示した年より遅らせており(協議会に資料の提示を)、今からでも全然遅くないので統一年限を遅らせて下さい。
県庁が現状の方針案を固辞・固執するのであれば、県民の為になりません。
11,第2期方針決定時と、第3期方針案時の間の大きな変化
社会保険への加入が国により促進された事により、国保から被用者保険に移行した人数について、適用拡大があった令和4年10月と前年の令和3年10月の移行者数を比較したところ下記のとおりでした。
・令和3年10月の移行者数:13,628人
・令和4年10月の移行者数:22,546人
という事は、現在の国保の加入者(被保険者)は、年収の厳しい割合が高くなっているという事が、第3期に向けた変化です。
65才以上が加入者に占める割合が44.7%と高い事も、国保制度そのものが担税力が低い事を示しています。
担税力のある『農林業』の国保加入者にしめる比率が過去と比べ激減しているのも、しかりです。
(枝葉末節ではない)それらの大きな【外的要因】を(国保協議会で説明せず)、なぜ国保加入への増税のみで賄おうとされるのでしょうか?
12,いわゆる『法定外繰入』をやめた自治体の国保加入者が、翌年から全て共済組合に加入出来るのなら、負担が少しは減りますが(国保より他の組合は収入が高く、医療費もかかっていないので)、国はそのような考えは一切口(文書)にしていません。県がたとえ要望していたとしても(他組合との統合は要望していない)、実現する見込みが全く立っていないのに、法定外繰入をやめるのは、乱暴にも程があります。これでは県内経済も好転しませんし、弱者切り捨てです。誰の為の国・県の方針なのか、目的がブレブレであります。国が何と言ってこようと何をして来ようと、県民を守る事が県(地方自治)の役目のはずです。
(県民コメントは、年度ごとに募集される訳では残念ながらないので、総合的に指摘せざるを得ませんが)負担を強いるばかりでなく、現在国に要望していない事をいつ具体的に国に要望するのか、また国保加入者を助けるプラン・予定を具体的に示して下さい。
資料⑦
13、もし県庁が「財政難」と言われるなら、県庁職員の皆さんの年収は6年前と比べ、何度も改善され、合計48億9千万円増えています(上記資料⑦。人事課調査)。そして今年12月にも引き上げが審議されます。また、以前は県庁職員の60才~65才までの雇用は、現役時代の6割でしたが、7割に引き上げられました。
また「県税収入は、過去最多」と県庁は発表しています(下記資料⑧)。
資料⑧
県庁の『財政運営WG(ワーキンググループ)』の資料を見ますと、国保の加入者の為の第3期方針案ではなく、県庁の財政を楽に運営したい(健全化ではない)印象がありありと見受けられます。具体的な反論がおありになるなら、具体的にお示し下さい。
14,『応能』と県が言っている事へのデータに基づく大きな疑問
保険税を滞納していた家庭の中に、自殺が起きていないか、市町村の徴税担当は結果として知り得る事があるので、県内にそのような事例がないか調査して下さい。でなければ、『応能』という根拠がありません。経済的に窮すれば、精神的にも追い詰められ、その中の何%かは自殺しています。
差し押さえなどがどう強化されていますか?具体的に示して下さい。
15,県議会において県庁は、運営方針に掲げている根幹的な方針について「市町村に強制するものではございません」と答弁しております。(資料⑨議事録)
新たな方針の決定に向け、市町村に対し、『強制』ではない事を、国保協議会でまずは申し述べて下さい。
同様に国から県に求められている事も、強制ではありません(県へのペナルティはありますが、県財政からすれば、しれています)。
16、医療費の水準は、大病院や病院数の多い所では高い傾向なので、現状の方針案のように埼玉県が医療費水準(α)の差をつけずに算定してしまうと、医療機関が少ない所は利用実態がそれほど無いのに保険料が高く、不公平になります。埼玉県はそうでなくても医師数が少ないのに。
他県の状況を協議会で示して下さい。(埼玉県庁は準備不足です)
17,以上申し上げた事をはじめ、方針案を鋭意変更され、県の責任ある協議会ですので、きちんと国保協議会で第3期方針案の【賛否】をとって下さい。今回は反対が出ます。
18,「県民コメントを公表するか、審議会の会長に見て頂いてからでないと分からない」県庁の(国民健康保険 担当)局長から10月27日になって私に言われた事。
——————————————————————————————–
≪最後に≫
埼玉県庁は、知事を筆頭に今期、県民の『命を守りぬく』事を掲げています。その具現化・具体化を、一般論ではなく、方針や、実務を変更されるよう、何卒よろしくお願い申し上げます。
今後随時更新していきます。ご意見をお寄せ下さい。
県議会議員 中川浩
hnkgw@nifty.com




































