埼玉県庁の方針により【増税】が📷一目瞭然の資料⇩
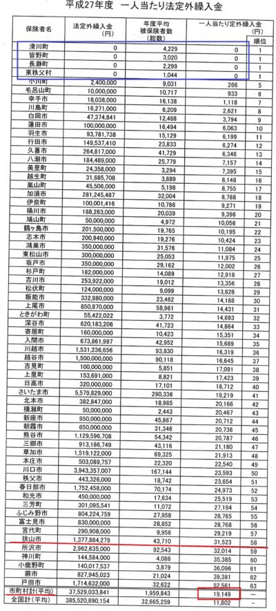
【拡散希望💛】 ほとんどの人が『低所得あるいは無職(65才以上など)』の国民健康保険。それなのに平成27年(6年前)に県庁が、税金の投入を減らすよう市町村に求め、令和3年(2年前)時点で📷ご覧のようにパッと見ただけで、税金投入をやめた市町村(青枠)が25市町村に増え、そして今回の県庁の方針案では3年後までに全市町村に『ゼロ』にするよう求めており、その影響額だけで『増税』は、1人あたり1万9254円です。これにはインフル流行などによる医療費増や、国保加入者は今後減少するのでその分の負担増は含んでいないので、更に上がります。誰がこんな案に賛成する責任が取れるのでしょう?自殺を増やす要因です。(12月18日に県議会で質疑が行われます)
狭山市(📷赤線)はこの間、税金投入が1人あたり1万6595円減って半分以下になっていますが、あなたの市町村は、どうなっていますか?? 低所得の方で払えない人が今後増えていきます。税金投入ゼロは統一化し、『減免』制度の統一化を県庁は全く検討していません。『消費税は社会保障に』が、ウソである事がこれだけで分かってしまいます。 (📷写真ごとに説明付き。)
平成27年(6年前)に県庁が、税金の投入を減らすよう市町村に具体的に求める時点
県内4町村しか独自の『税金投入ゼロ』じゃない。
都市部が税金投入が多いのは【非正規】労働・低所得が多いからで、いわゆる農村・山間部は、税金投入が少ない状況に全国的にあります。
以前は6割以上が国の予算で運営していたのに、市町村独自の税金投入を『法定外』と言い放っています(県資料)。困っている住民に寄り添うのが”自治”体としての県庁の存在理由のはずですが。
(平成26年以前のデータも県庁に請求し、お伝え出来ればと思っています)
(現在の最新データである)令和3年(2年前)時点で📷ご覧のように、税金投入をやめた市町村(青枠)が25町村に増え、そして今回の県庁の方針案では3年後までに全63市町村に税金投入『ゼロ』を求めており、”今後”の(税金投入ゼロ)影響額だけで『増税』は、年間1人あたり1万68円です。
狭山市(📷赤線)は、平成27年と比べ、税金投入が1人あたり1万6595円減って、半分以下に。これを3年後までにゼロにする計画。
---------
『公務』 私にとっての公務とは、子どもなど『人の命がかかっている事に【直接・具体的行動】をする時』なので、昨日は珍しくネクタイをしめて活動しました。式典や、県議会で発言せずピョコンと座っているだけを、公務とは私の場合は思いません。ただ私の職業の場合、県議会の開催日でないと『労災』にはなりませんが(たとえ災害現場でも)、いいんです。やらなければならない事を、後悔しないよう、(私達には『任期』という期限もあって)やる必要があるので(政治をたとえ引退しても、『ライフワーク』として)。自民党以外で狭山市の場合、県議が2期当選した事はありませんでした。全ての皆さんに、感謝しております。私は市議時代、“その為“に『最大会派 幹事長』から、“ポスト“を離れました。ポストだけで、世の中良くなるなら、『増税メガネ』とか言われないと思います。昨夜、里親PR活動中も、里親になりたい女性の方から「バッジを付けた人は何をやってるんだか」などお話頂きました。事件は“現場“で起きるのに、県職員のほとんどは行政施設に居て、パソコンと向き合うのでは効率が悪過ぎです(大企業以上の処遇なのに)。世の中、悪くなるスピードのほうが速く、軸足を改めねば、困る人が格段に増える一方(埼玉県庁は『式典・儀礼的行事』多過ぎ)。特に、若い人達の今後を考えれば。増税・
温暖化による災害・格差の固定・戦争・地震火山災害・ウイルス・・・。いい事ありますか?行政・政治の皆さんも、安泰ではないてすよ。経済の論理をご存知なら。 (
写真は、なんと児童養護施設の方が撮って下さいました。m(__)m)
---------
---------
頂いたコメントを紹介します↓
「たしかに
県民の皆様にご心配かけました とは書かないでしょうが
こうして一行スルーなんですね」
---------
---------











